产品展示

双-2-甲氧乙基偶氮二羧酸酯
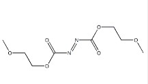
 结 构 式:

940868-64-4.png

 产品名称:DMEAD 双-2-甲氧乙基偶氮二羧酸酯
 英文名称:Bis(2-methoxyethyl) diazene-1,2-dicarboxylate
 CAS 号:940868-64-4
 外  观:黄色粉末
 纯  度:≥98% HPLC


相关产品