产品展示

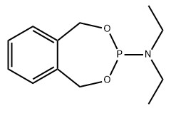
邻亚二甲苯基 N,N-二乙基亚磷酰胺
 结 构 式:            

82372-35-8.png

 产品名称:            邻亚二甲苯基 N,N-二乙基亚磷酰胺
 英文名称:            N,N-DIETHYL-1,5-DIHYDRO-2,4,3-BENZODIOXAPHOSPHEPIN-3-AMINE
 CAS 号:            82372-35-8
 外  观:            
 纯  度:            


上一页:BOC-L-丙氨酸

相关产品