产品展示

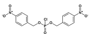
双(4-硝基苄基)氯代磷酸酯
 结 构 式:            

57188-46-2.png

 产品名称:            双(4-硝基苄基)氯代磷酸酯
 英文名称:            BIS(4-NITROBENZYL)PHOSPHOROCHLORIDATE
 CAS 号:            57188-46-2
 外  观:            
 纯  度:            


相关产品