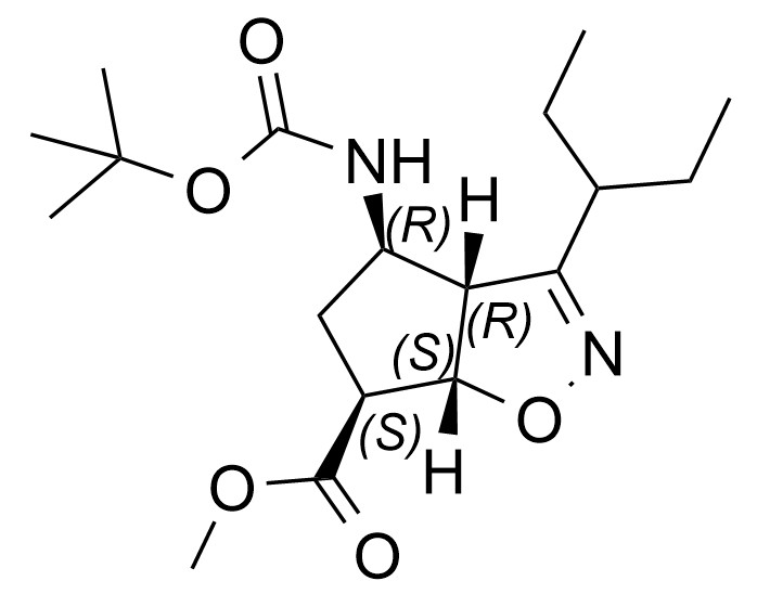
产品展示

(3AR,4R,6S,6AS)-4-[叔丁氧羰基氨基]-3-(1-乙基丙基)-3A,5,6,6A-四氢-4H-环戊并[D]异恶唑-6-羧酸甲酯
 结 构 式:

229613-93-8

 产品名称:(3AR,4R,6S,6AS)-4-[叔丁氧羰基氨基]-3-(1-乙基丙基)-3A,5,6,6A-四氢-4H-环戊并[D]异恶唑-6-羧酸甲酯
 英文名称:(1S-4R)-4-[[(1,1-Dimethylethoxy)carbonyl]amino]- 2-Cyclopentene-1-carboxylic acid methyl ester
 CAS 号:229613-93-8
 外  观:
 纯  度:


相关产品