产品展示

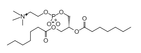
1,2-二庚酰-Sn-甘油-3-磷酰胆碱(DHPC)
 结 构 式:

39036-04-9.png

 产品名称:DHPC 1,2-二庚酰-Sn-甘油-3-磷酰胆碱
 英文名称:1,2-diheptanoyl-sn-glycero-3-phosphocholine
 CAS 号:39036-04-9
 外  观:白色至类白色固体
 纯  度:≥98.0%(HPLC-ELSD)


相关产品