产品展示

1-硬脂酰-2-亚油酰磷脂酰丝氨酸(钠盐)(SLinPS)
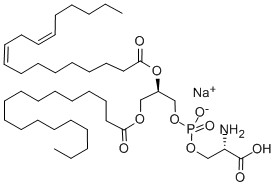
 结 构 式:

322647-11-0.gif

 产品名称:1-硬脂酰-2-亚油酰磷脂酰丝氨酸(钠盐)(SLinPS)
 英文名称:1-STEAROYL-2-LINOLEOYL-SN-GLYCERO-3-PHOSPHO-L-SERINE (SODIUM SALT);18:0-18:2 PS
 CAS 号:322647-11-0
 外  观:淡黄色固体粉末
 纯  度:97%



相关产品