产品展示

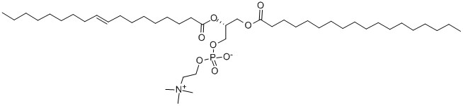
1-硬脂酰-2-油酰磷脂酰胆碱(SOPC)
 结 构 式:

56421-10-4.gif

 产品名称:1-硬脂酰-2-油酰磷脂酰胆碱(SOPC)
 英文名称:1-STEAROYL-2-OLEOYL-SN-GLYCERO-3-PHOSPHOCHOLINE;18:0-18:1 PC
 CAS 号:56421-10-4
 外  观:类白色固体粉末
 纯  度:98%



上一页:HOBT 15%DMF溶液

相关产品